Chemical-Suppliers
The independent directory of chemicals and chemical suppliers and producers.
BuyersGuideChem
BGC » Product Search » DTPMP heptasaodium salt
pr
Supplier for

DTPMP heptasaodium salt

Identification
CAS: 68155-78-2
Formula: C9H21N3O15P5.7Na
EINECS: 268-990-9
bd
Show all suppliers for the CAS No 68155-78-2
for the following products Diethylene?triamine?penta?(methylene?phosphonic?acid)?(dtpmpa)? | Diethylenetriamine penta(methylene phosphonic acid) heptasaodium salt | Diethylenetriamine penta(methylene phosphonic acid) pentasodium salt | DTPMP Na5 | Heptasodium trihydrogen [[bis[2-[bis(phosphonatomethyl)amino]ethyl]amino]methyl]phosphonate and DTPMP heptasaodium salt
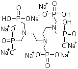
Structural Formula

1 registered suppliers


Chemical-Suppliers
Skyrun Industrial Co., Ltd.
from P.R.China
Skyrun Industrial Co.Limited, established in 2003, a state-controlled company (By Skyrun Corp. & High Hope) in China, specializing in developing, producing and handing raw pharmaceutical material and intermediates. We have expanded a compositive entity from initially only as a small manufacturer. We have extensive knowledge of domestic and international pharmaceutical markets. Our working range can be start from small amount in research stage to big bulk for industrial production.










Chemical-Suppliers
© Copyright 1996 to 2025 by Netvertise GmbH. All rights reserved. Reproduction of any materials from the site is strictly forbidden without permission.